大阳城APP下载·(Macau)股份有限公司-官方网站

中文中文
EnglishEnglish
FrançaisFrançais

产品展示

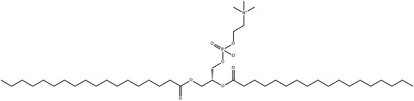
DSPC 二硬脂酰基磷脂酰胆碱
 结 构 式:

816-94-4.gif

 产品名称:DSPC  二硬脂酰基磷脂酰胆碱
 英文名称:1,2-distearoyl-sn-glycero-3-phosphocholine
 CAS 号:816-94-4
 外  观:类白色至白色固体
 纯  度:≥99.0% HPLC



相关产品

Baidu
sogou