大阳城APP下载·(Macau)股份有限公司-官方网站

中文中文
EnglishEnglish
FrançaisFrançais

产品展示

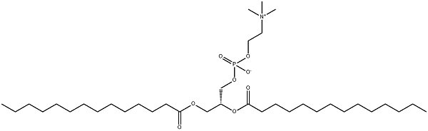
DMPC 二肉豆蔻酰基卵磷脂 (DMPC)
 结 构 式:

18194-24-6.gif

 产品名称:DMPC 二肉豆蔻酰基卵磷脂
 英文名称:1,2-Dimyristoyl-sn-glycero-3-phosphocholine
 CAS 号:18194-24-6
 外  观:白色固体
 纯  度:99% HPLC



相关产品

Baidu
sogou